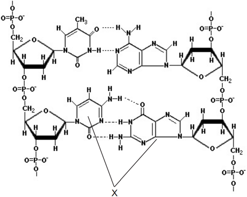
\(DNS\) ir biopolimērs ar dubultķēdes struktūru.

Abas ķēdes kopā satur ūdeņraža saites starp komplementārajām daļām, kas apzīmētas ar \(X\).
Kas DNS shēmā norādīts ar burtu X?
Kas DNS shēmā norādīts ar burtu X?
Atsauce:
https://www.visc.gov.lv, Valsts eksāmens bioloģijā 2020.g.
Lai iesniegtu atbildi un redzētu rezultātus, Tev nepieciešams autorizēties. Lūdzu, ielogojies savā profilā vai reģistrējies portālā!