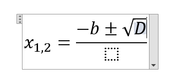
Apskatīsim, kā pa soļiem var izveidot kvadrātvienādojuma sakņu atrašanas formulu.
1. Izpilda komandu Insert/Equation.
2. Sadaļā Structures nospiež uz Script un izvēlas skriptu ar apakšējo indeksu (Subscript).

3. Kvadrātiņos ieraksta atbilstošo tekstu, no kvadrātiņa uz kvadrātiņu pārvietojoties ar bultām "pa labi", "pa kreisi" uz tastatūras. Kad cipars 2 ir uzrakstīts, jānospiež bulta pa labi, lai izietu no apakšējā līmeņa.

4. Sadaļā Structures nospiež uz Fraction un izvēlas parasto daļu (Stacked Fraction).

5. Novieto kursoru augšējā daļā, uzraksta attiecīgo tekstu un plus/mīnuss zīmi ievieto no sadaļas Symbols.

6. Sadaļā Structures nospiež uz Radical un izvēlas kvadrātsakni (Square Root).

7. Novieto kursoru zem saknes un uzraksta attiecīgo tekstu.

8. Pārvieto kursoru apakšējā daļā un pabeidz formulas pierakstu.
9. Nepieciešamības gadījumā, pārvieto formulu pa labi/pa kreisi/centrā, nospiežot uz formulas rāmja bultiņu un izvēloties Justification.
