PIRMĀ SEMESTRA NOSLĒGUMA TESTI
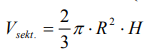
Dota formula:

Kāds struktūras elements ir nepieciešamas tās izveidei?
Iespējamas vairākas atbildes!
Lai iesniegtu atbildi un redzētu rezultātus, Tev nepieciešams autorizēties. Lūdzu, ielogojies savā profilā vai reģistrējies portālā!