PIRMĀ SEMESTRA NOSLĒGUMA TESTI
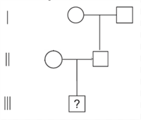
Hemofilija ir iedzimta asinsreces saslimšana, kas iedzimst kā recesīva gēna alēle h, kas saistīta ar X hromosomu. Sakarā ar to, ka anomālija ir X hromosomā, hemofiliju var mantot tikai iedzimtības ceļā no vecākiem. Dotajā ciltskokā ir parādīta hemofilijas iedzimšana kādā dzimtā. Dzimtas vectēvs slimo ar hemofiliju, vecāmāte ir homozigota. Otrajā paaudzē sieviete ir vesela, bet pazīmes nēsātāja.
Kāda ir iespējamība, ka mazdēls slimos ar hemofiliju?
Kāda ir iespējamība, ka mazdēls slimos ar hemofiliju?

1. Iezīmē dzimtas kokā vecvecāku un vecāku pazīmes iedzimšanu!
2. Kādi ir vecvecāku un vecāku genotipi?
3. Kāda ir iespējamība, ka mazdēls slimos ar hemofiliju?
Uzdevumi.lv Tev piedāvā izvēlēties pareizo atbildi. Darbā Tev pašam ir jāuzraksta atbilde!
Atsauce:
https://www.viaa.gov.lv. Monitoringa darbs optimālajā mācību satura apguves līmenī dabaszinībās vidusskolai, 2025
Lai iesniegtu atbildi un redzētu rezultātus, Tev nepieciešams autorizēties. Lūdzu, ielogojies savā profilā vai reģistrējies portālā!