Skolēns pēta ūdens pacelšanos stikla kapilārā, atkarībā no temperatūras, izmantojot lineālu ar vienas iedaļas vērtību \(1\)\(mm\).
Pētījuma rezultāti tika apkopoti tabulā. Pieņem, ka mainoties temperatūrai, kapilārs izmērus nemaina un .
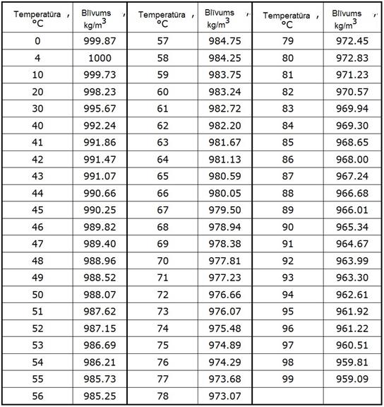
Mērījumu tabula
Nr.p.k. | \(t\), | \(h\), \(mm\) |
1. | 10 | 152 |
2. | 20 | 145 |
3. | 30 | 135 |
Izmanto tabulas un izvērtē iegūtus rezultātus!


Izraksti eksperimenta rezultātu (-us), ja mērījuma kļūda pārsniedz lineāla vienas iedaļas vērtību! Ja mērījums atbilst patiesībai, tad raksti 0!
Atbilde: 1. mērījums — , 2. mērījums — , 3. mērījums — .
Lai iesniegtu atbildi un redzētu rezultātus, Tev nepieciešams autorizēties. Lūdzu, ielogojies savā profilā vai reģistrējies portālā!