Celuloze ir augu šūnapvalku galvenā sastāvdaļa.
Koksnē ir aptuveni 50% celulozes un 20-35% lignīna. Kokvilna ir gandrīz tīra celuloze. Celulozei molekulformula ir tāda pati kā cietei - , tikai celulozei posmu skaits ir vēl lielāks nekā cietei.

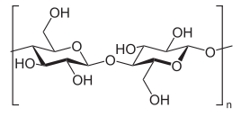
Attēlā: celulozes struktūrformula
Celulozes molekulas sastāv no savērptiem, savstarpēji saistītiem glikozes atlikumiem. Celulozes pavedienveida molekulas veido garas šķiedras. To polimerizācijas pakāpe \(n\) ir no 300 līdz 3000. Šīs šķiedras savā starpā saistītas ar ūdeņraža saitēm.
Koksni izmanto ne tikai celtniecībā un par kurināmo. No tās iegūst celulozi, kas ir ļoti svarīga izejviela mākslīgā zīda, papīra, spirtu (metanola un etanola), kaučuka, etiķskābes un daudzu citu vērtīgu produktu ražošanai. No koksnes iegūst arī lignīnu.
Katrā nelielā kokzāģētavā gadā rodas tik daudz zāģu skaidu, ka no tām varētu iegūt vienu miljonu litru etanola , kas dotu pa 1 miljonam latu papildpeļņas.
Papīra ražošana
Svarīga celulozes pārstrādes nozare ir papīrrūpniecība. Papīru sākumā ražoja no linu lupatām. 19. gs otrajā pusē papīru sāka ražot no celulozes, bet vēlāk - tieši no koksnes.
Ražojot papīru no celulozes, celulozi izmērcē, saplucina un speciālās dzirnavās samaļ. Iegūto masu balina. Tad ļoti sasmalcināto papīrmasu lej uz gara, vibrējoša sieta, kuram cauri iztek ūdens, bet celulozes šķiedras izveido audumam līdzīgu slāni. Tālāk veltnis šo slapjo slāni noņem no sieta, tad to presē un žāvē starp karstiem cilindriem. Papīru satin ruļļos vai no tā gatavo papīra izstrādājumus.
Pasaulē ražo vairākus simtus papīra šķirņu. Izgatavojot katru no tām, sākotnēji celulozes masai pievieno katras papīra šķirnes ražošanai vajadzīgās vielas.
Papīru ražo arī, otro reizi pārstrādājot papīra atkritumus - makulatūru.
Atsauce:
http://lv.wikipedia.org/wiki/Att%C4%93ls:Cellulose_Sessel.svg
http://www.dzm.lu.lv/kim/IT/K_12/default.aspx@tabid=21&id=530.html
http://www.bio.miami.edu/dana/226/226F07_3print.html
http://www.bio.miami.edu/dana/226/226F07_3print.html
R.Rudzītis, F.Feldmanis Ķīmija pamatskolai 194 lpp