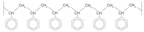
Zīmējumā attēlots polimēra molekulas fragments.

Kurš ir dotā polimēra monomērs?
\(\mathrm{A}\) | ![]() |
\(\mathrm{B}\) | ![]() |
\(\mathrm{C}\) | ![]() |
\(\mathrm{D}\) | ![]() |
Lai iesniegtu atbildi un redzētu rezultātus, Tev nepieciešams autorizēties. Lūdzu, ielogojies savā profilā vai reģistrējies portālā!



