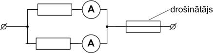
Elektriskajā ķēdē saslēgti divi rezistori un divi ampērmetri. Viens ampērmetrs rāda 2 A stipru strāvu, bet otrs 3 A stipru strāvu. Pieejami trīs dažādi drošinātāji, kas pārtrauc elektrisko ķēdi, ja strāvas stiprums sasniedz 3 A, 4 A un 6 A.
Kuru drošinātāju ieslēdzot ķēdē, plūst strāva?
Kuru drošinātāju ieslēdzot ķēdē, plūst strāva?

Lai iesniegtu atbildi un redzētu rezultātus, Tev nepieciešams autorizēties. Lūdzu, ielogojies savā profilā vai reģistrējies portālā!