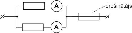
Электрическая цепь состоит из двух резисторов, двух амперметров и предохранителя. Один амперметр показывает силу тока равную 2 А, другой – 3 А. В наличии есть предохранители, которые отключают электричество (прекращают течение тока в цепи) при силе тока в 3 A, 4 A и 6 A.
Какой предохранитель надо применить, чтобы в цепи тек ток?
Какой предохранитель надо применить, чтобы в цепи тек ток?

Lai iesniegtu atbildi un redzētu rezultātus, Tev nepieciešams autorizēties. Lūdzu, ielogojies savā profilā vai reģistrējies portālā!