PIRMĀ SEMESTRA NOSLĒGUMA TESTI
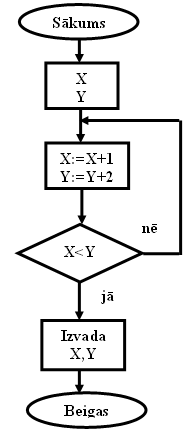
Kādas vērtības tiks izvadītās, pēc algoritma izpildīšanās? x = 55; y = 45 x = y = | ![]() |
Lai iesniegtu atbildi un redzētu rezultātus, Tev nepieciešams autorizēties. Lūdzu, ielogojies savā profilā vai reģistrējies portālā!
