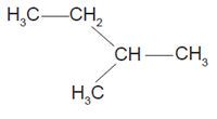
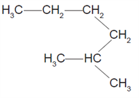
Kuram no attēlotajiem savienojumiem ir augstākā viršanas temperatūra?
| \(\mathrm{A}\) | ![]() |
| \(\mathrm{B}\) | ![]() |
| \(\mathrm{C}\) | ![]() |
| \(\mathrm{D}\) | ![]() |
Lai iesniegtu atbildi un redzētu rezultātus, Tev nepieciešams autorizēties. Lūdzu, ielogojies savā profilā vai reģistrējies portālā!



